Расчет дорожных одежд.
Расчет дорожных одежд, армированных объемными георешетками.
В настоящее время в дорожном строительстве активно применяются объемные георешетки.
Объемная георешетка – это пакет из полимерных лент, скрепленных между собой посредством сварных швов таким образом, что при растяжении в поперечном направлении он образует сотовую структуру. Ее ячейки могут быть заполнены различными дискретными материалами. В дорожной одежде, например, такая конструкция работает как слой повышенной несущей способности. Однако в настоящее время не существует единого метода расчета, который охватил бы полный диапазон применения георешеток в строительстве дорожных одежд. Из существующих методов расчета одежд с объемным армированием можно выделить два.
Первый метод изложен во Временных строительных нормах по применению синтетических материалов (СМ) при устройстве нежестких дорожных одежд автомобильных дорог, разработанных 26 Центральным Научно-исследовательским институтом. Второй метод разработан Ассоциацией американских инженеров, для расчета дорожных одежд, состоящих из решеток ГЕОВЕБ с зернистым заполнителем.
Согласно временным строительным нормам нежесткую дорожную одежду рассчитывают методом приведения многослойной упругой конструкции к эквивалентной двухслойной модели. Эффект упрочнения конструктивных слоев дорожной одежды при их армировании синтетическими материалами оценивают соответствующим увеличением модуля упругости. Приведенный модуль упругости Еп определяют по эмпирической зависимости:
где Еk – модуль упругости неармированного слоя, МПа;
Ка – коэффициент увеличения модуля упругости армогрунтового слоя.
Коэффициент Ка определяют по результатам штамповых испытаний фрагментов неукрепленных и укрепленных СМ дорожных одежд. По данным экспериментальных исследований, проведенных 26 ЦНИИ МО, получены численные значения коэффициента Ка для некоторых видов конструкций одежды.
Метод расчета, предлагаемый Ассоциацией американских инженеров, основан на эмпирических зависимостях и учитывает только трение заполнителя о стенки георешетки. Очевидно, что увеличение несущей способности армированного георешетками слоя в основном связано с другим физическим явлением. Поэтому перед нами была поставлена цель разработать методику расчета конструктивных слоев из зернистых материалов, армированных объемной георешеткой.
Для достижения поставленной цели необходимо было решить следующие задачи:
- определить напряженно деформируемое состояние армированного слоя и разработать математическую модель расчета;
- провести экспериментальные исследования для проверки теоретических результатов.
Общая методика теоретических рассуждений была построена в рамках классической теории упругости, а экспериментальные исследования проводились в лабораторных условиях с реальной расчетной оболочкой. В процессе данной работы были подвергнуты сомнению справочные значения коэффициента Пуассона для зернистых материалов, используемых нами в качестве заполнителя. Фактические значения коэффициента Пуассона в изучаемой расчетной схеме определялись путем решения обратной задачи.
Ячейки георешетки препятствуют горизонтальной деформации заполнителя под нагрузкой. В результате осадка слоя с георешеткой уменьшается. Это послужило основой для разработки методики расчета. В реальных условиях ячейка георешетки в плане имеет неправильную геометрическую форму (рис.1), напоминающую ромб.

Рис.1. Ячейка георешетки. В случае, когда внешнее вертикальное давление распределяется на несколько рядом расположенных ячеек, то стенки смежных ячеек, по крайней мере в центре нагруженной области, не испытывают одностороннего бокового давления и работают только на растяжение. Это дает основание предположить, что в первом приближении в качестве расчетной схемы реальной ячейки может быть принята цилиндрическая оболочка равного с ячейкой объема и равной высоты, заполненная тем же материалом и обеспечивающая такую же величину осадки под нагрузкой, как и реальная конструкция (рис.2).

Рис.2. Переход от реальной ячейкм к расчетной схеме. (V ячейки=V цилиндра).
h – высота ячейки; L – размер ячейки; α – угол раскрытия ячейки; δ – толщина стенки;
R – «приведенный» радиус ячейки; Ср – эквивалент модуля упругости цилиндрической оболочки.
Выбранная расчетная схема позволяет достаточно просто рассчитать напряженно-деформированное состояние армированного слоя и установить все необходимые соотношения эквивалентности математической модели и реальной конструкции.
Рассмотрим задачу плоской деформации идеально-упругого, однородного и изотропного цилиндра, заключенного в расчетную оболочку и установленного на бесконечно жестком идеально гладком основании (рис.3)… (Подробное математическое решение опущено).
Вычислим осадку нагруженного слоя dhp. Радиальная деформация массива заполнителя Up складывается из деформации заполнителя Uq под действием вертикальной нагрузки q и радиальной деформации Uqp от действия реакции оболочки qp.

Рис.3. Схема деформирования расчетной оболочки.
q – внешняя нагрузка; qp – реакция оболочки; dhp – осадка армированного слоя; Up – радиальная деформация армированного массива; Uo – радиальная деформация оболочки.
Условие равенства радиальных перемещений оболочки и заполнителя позволяет определить реакцию оболочки qp на давление грунта:
где μ – коэффициент Пуассона;
Е – модуль упругости заполнителя.
Следует отметить, что эта величина в зависимости от свойств грунта и георешетки может меняться в пределах от нуля до величины внешней нагрузки q. Наибольшего значения она достигает в жесткой оболочке, заполненной слабым водонасыщенным грунтом (q=0,5). Зная реакцию оболочки qp, можно определить осадку dhp. Она складывается из вертикального перемещения заполнителя dhq под действием внешней нагрузки q и вертикального перемещения массива dhqp от действия реактивного усилия qp.
Отношение величины осадки неармированного массива заполнителя dhq к осадке слоя с георешеткой dhp назовем эффектом армирования и обозначим Ка:
Из (3) видно, что эта величина растет:
- при увеличении коэффициента Пуассона;
- при уменьшении модуля упругости материала заполнителя;
- при уменьшении размера ячейки;
- при увеличении жесткости материала решетки.
По существу Ка является коэффициентом увеличения модуля упругости армированного слоя и на практике может быть использован для вычисления эффективного модуля упругости Еэф, отражающего совместную работу рассматриваемого композита грунт – георерешетка.
Величина осадки основания под нагрузкой с помощью эффективного модуля упругости Еэф вычисляется по формуле:
С помощью формулы (5) при известной величине эффекта армирования Ка можно рассчитать конструкцию дорожной одежды, армированной георешеткой, с использованием действующего норматива ОДН 218.046.
Величина эффекта армирования Ка зависит от физико-механических свойств заполнителя (E, μ) и характеристик георешетки (Ср, L, α, R и δ), но не зависит от толщины армированного слоя.
Величины R, δ, E, μ либо заранее известны проектировщику, либо задаются им. Величину Ср можно получить из опыта по определению эффекта армирования Ка, дважды реализовав в лабораторных условиях ситуацию, соответствующую граничным условиям (6).
Первый опыт ставится с реальной решеткой. В нем определяется осадка армированного массива (dhp). Второй – для измерения осадки материала заполнителя (dhq) без решетки
В условиях равномерной осадки нагруженного слоя исключается влияние подстилающего и вышележащих слоев, трение заполнителя о георешетку и все краевые эффекты. В этих идеальных условиях величину Ср по экспериментально найденному эффекту армирования:

Ср – является эквивалентом модуля упругости цилиндрической оболочки, которой при расчетах заменяется ячейка реальной георешетки. На этом основании можно предположить, что Ср не зависит или, по крайней мере, слабо зависит от модуля упругости (Е) и коэффициента Пуассона (μ) заполнителя. Поэтому Ср можно назвать постоянной характеристикой георешетки, которая зависит только от физико-механических свойств самой решетки. Однако данное положение требует экспериментальной проверки.
Максимально возможный эффект армирования дорожных одежд георешетками определяется соотношением:
По (8) на рис.4 построена зависимость предельного эффекта армирования Ка от величины коэффициента Пуассона заполнителя. Видно, что эффект армирования при увеличении коэффициента Пуассона возрастает. Так, например, для слабых водонасыщенных грунтов максимальный эффект армирования может достигать 100%, что равносильно двукратному увеличению модуля упругости слоя при его усилении георешетками.

Рис.4. Зависимость эффекта армирования от коэффициента Пуассона.
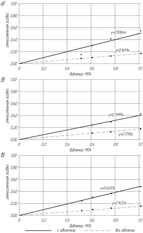
При определении осадки нагрузка прикладывалась ступенями. В результате получена зависимость осадки от давления (рис.5). Рассматривая материал заполнителя как линейно деформируемую среду на определенном интервале напряжений (закон Гука), проведена аппроксимация эксперимента и получена линейная зависимость. Как видно из рис.5 в условиях ограничения бокового перемещения, т. е. в случае применения оболочки, значительно снижается осадка материала, а соответственно увеличивается общий модуль упругости. Так эффект армирования для щебня фракции 5-20 составил 3,23 (223%), для супеси – 3,00 (200%), для щебня фракции 0-10 – 2,23 (123%). Данные значения в несколько раз превышают ранее полученные теоретические результаты, согласно которым предельный эффект для щебня не может превышать 1,11 (11%) (расчетное значение μ=0,27), для супеси – 1,21 (21%) (расчетное значение μ=0,35). Для сопоставления результатов было предложено определить фактический коэффициент бокового расширения (аналогичный коэффициенту Пуассона μ) из выражения (3):
В данной формуле все составляющие известны. Эффект армирования Ка и модуль упругости материала заполнителя Е определены в ходе эксперимента, «постоянная» характеристика Ср является модулем упругости материала, из которого изготовлена оболочка. В нашем случае – это сталь. Модуль упругости по результатам испытаний составил для щебня фракции 5-20 – 216,48 МПа, щебня фракции 0-10 – 217,63 МПа, супеси – 191,22 МПа, расчетный модуль упругости стали – 206000 МПа.
Подставив данные величины в формулу (9), получили, что фактический коэффициент бокового расширения для щебня фракции 5-20 составил μфак=0,556, для щебня фракции 0-10 - μфак=0,518, для супеси – μфак=0,55. Для получения значений согласно (8) определен предельный эффект армирования. Для щебня фракции 5-20 он равен 3,29 (229%), для фракции 0-10 – 2,26 (126%), для супеси – 3,05 (205%). Полученные расчетные результаты сочетаются с данными проведенного эксперимента.

Рис.5. Зависимость осадки от давления.
а) супесь (W=9 %, КУПЛ=0,98); б) щебень фракции 0 – 10; в) щебень фракции 5 – 20.
А. Н. Шуваев, доктор технических наук.
М. В. Панова, канд. технических наук.
С. А. Куюков, инженер.
С. П. Санников, аспирант.
М. В. Панова, канд. технических наук.
С. А. Куюков, инженер.
С. П. Санников, аспирант.

